Notice
Recent Posts
Recent Comments
Link
| 일 | 월 | 화 | 수 | 목 | 금 | 토 |
|---|---|---|---|---|---|---|
| 1 | 2 | 3 | ||||
| 4 | 5 | 6 | 7 | 8 | 9 | 10 |
| 11 | 12 | 13 | 14 | 15 | 16 | 17 |
| 18 | 19 | 20 | 21 | 22 | 23 | 24 |
| 25 | 26 | 27 | 28 | 29 | 30 | 31 |
Tags
- 알고리즘스터디
- 알고리즘
- 정보처리기사 c언어
- 가상환경
- String Method
- 파이썬
- NumPy
- queue
- MySQL
- pandas
- 백준
- python
- 자료구조
- 코딩테스트
- Selenium
- Matplotlib
- 노마드코딩
- 알고리즘 스터디
- Stack
- javascript
- Join
- Algorithm
- aws jupyter notebook
- openCV
- 데이터시각화
- 프로그래머스
- 선그래프
- dataframe
- type hint
- programmers
Archives
- Today
- Total
조금씩 꾸준히 완성을 향해
[ C 언어] 중복 재귀함수 본문
<예제 1>
#include <stdio.h>
int recur(int a, int b){
if (a <= 1)
return a * b;
else
return a * recur(a-1, b+1) + recur(a-1, b);
}
int main() {
int a=3, b=2;
printf("%d\n", recur(a, b));
}
// 41

<예제 2>
#include <stdio.h>
int sub(int n){
if(n==0) return 0;
if(n==1) return 1;
return (sub(n-1) + sub(n-2));
}
int main() {
int a=0;
a = sub(4);
printf("%d", a);
}
// 3

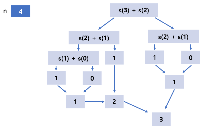
<예제 3>
#include <stdio.h>
int fib(int n){
if(n==0) return 0;
if(n==1) return 1;
return (fib(n-1) + fib(n-2));
}
int main() {
fib(5);
}
// fib() 함수가 호출되는 횟수? 15회

※ 유튜브 흥달쌤 깨알 C언어 특강을 직접 정리한 내용입니다
'기타 언어 > C 언어' 카테고리의 다른 글
| [C 언어] 단항 연산자(++, --) 같은 변수로 중복 (0) | 2023.03.31 |
|---|---|
| [C 언어] printf 함수 & 단항 연산자(++, --) 출력 순서 (0) | 2023.03.29 |
| [C 언어] 재귀 함수 (0) | 2023.03.29 |
| [C 언어] 정적(STATIC) 변수 (0) | 2023.03.29 |
| [C 언어] 함수 주소 전달 & 주소 리턴 (0) | 2023.03.26 |